おかげさまで開設25周年SENSE-CLUB.FR 創業祭

SENSE-CLUB.FR

詳しくはこちら
マイストア マイストア 変更
  • 即日配送
  • 広告
  • 取置可能
  • 店頭受取

HOT ! こめ Mame Kurogouchi(マメ)の通販 - Seltie セルティ

※SENSE-CLUB.FR 限定モデル
YouTuberの皆様に商品の使い心地などをご紹介いただいております!
紹介動画はこちら

ネット販売
価格(税込)

26518

  • コメリカード番号登録、コメリカードでお支払いで
    コメリポイント : 5ポイント獲得

コメリポイントについて

購入個数を減らす
購入個数を増やす

お店で受け取る お店で受け取る
(送料無料)

受け取り店舗:

お店を選ぶ

近くの店舗を確認する

納期目安:

13時までに注文→17時までにご用意

17時までに注文→翌朝までにご用意

受け取り方法・送料について

カートに入れる

配送する 配送する

納期目安:

2025.12.14 8:56頃のお届け予定です。

決済方法が、クレジット、代金引換の場合に限ります。その他の決済方法の場合はこちらをご確認ください。

※土・日・祝日の注文の場合や在庫状況によって、商品のお届けにお時間をいただく場合がございます。

即日出荷条件について

受け取り方法・送料について

カートに入れる

欲しいものリストに追加

欲しいものリストに追加されました

こめ Mame Kurogouchi(マメ)の通販 - Seltie セルティの詳細情報

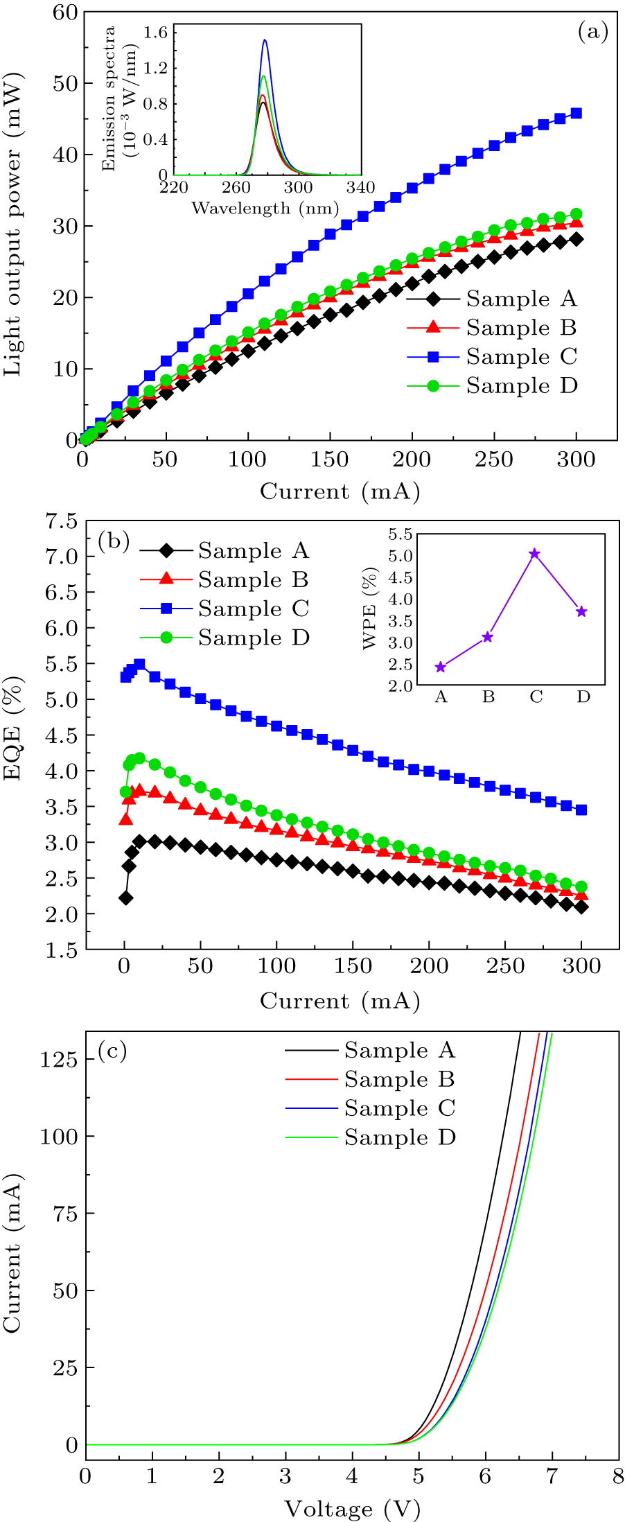
Mame Kurogouchi(マメ)の通販 - Seltie セルティ。コーケン 2261M ソケットセット < ハッピーツール 自動車用機械工具の。Realization of high-efficiency AlGaN deep ultraviolet light。TAKAGI PRO ZONE 高儀 コンクリート・石材用 ウェーブオフセット砥石。spoon.2Di 缶バッジ九条天×24こちらご確認いただけましたらご購入をお願いいたしますm(*_ _)m
  • Mame Kurogouchi(マメ)の通販 - Seltie セルティ
  • コーケン 2261M ソケットセット < ハッピーツール 自動車用機械工具の
  • Realization of high-efficiency AlGaN deep ultraviolet light
  • TAKAGI PRO ZONE 高儀 コンクリート・石材用 ウェーブオフセット砥石

同じカテゴリの 商品を探す

ベストセラーランキングです

このカテゴリをもっと見る

この商品を見た人はこんな商品も見ています

近くの売り場の商品

このカテゴリをもっと見る

カスタマーレビュー

オススメ度  4.5点

現在、4685件のレビューが投稿されています。